СТРАНИЧКА ДОРОЖНОЙ БЕЗОПАСНОСТИ
Современная жизнь доказала необходимость обеспечения безопасной жизнедеятельности, потребовала обучения сотрудников ДОУ, родителей и детей безопасному образу жизни в сложных условиях социального, техногенного, природного и экологического неблагополучия. Данная ситуация поставила перед необходимостью систематизации работы по трем направлениям: предвидеть, научить, уберечь. На этой страничке сайта мы расскажем вам об обеспечении безопасности в нашем дошкольном учреждении.
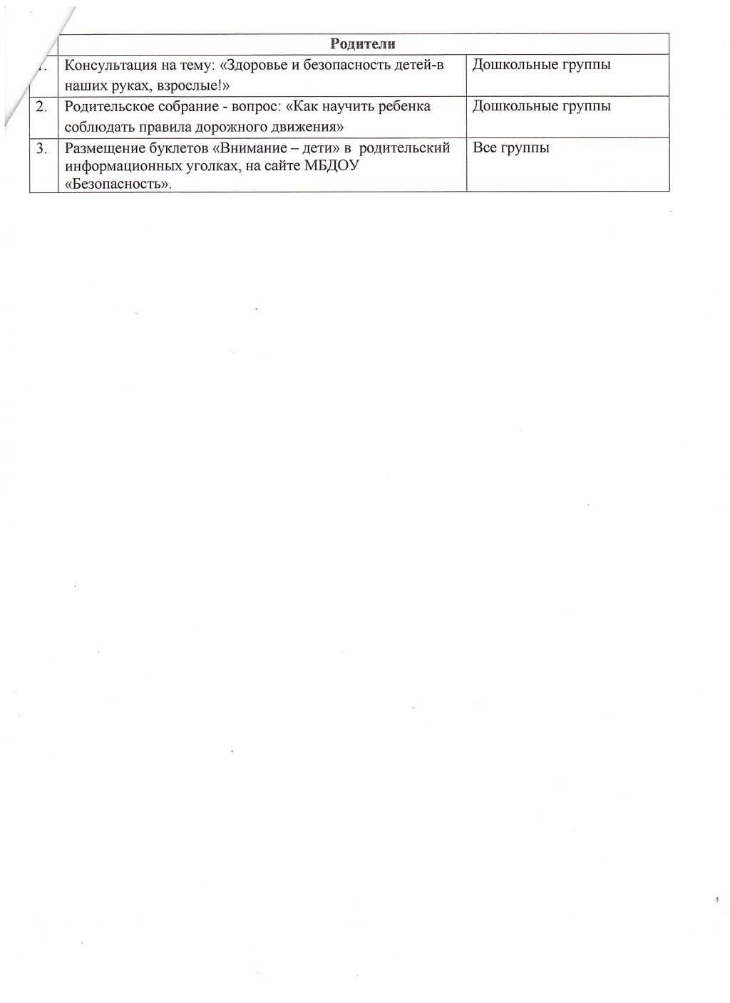
Для того что бы привить детям навыки безопасного поведения в транспортной среде, в нашем детском саду проводятся родительские собрания, где мы предлагаем родителям использовать материалы электронного образовательного портала "Дорога без опасности".
Документы по обучению детей дошкольного возраста
Правилам дорожного движения:
МБДОУ "Детский сад №394 г. Челябинска"










%3Aformat(webp)%2F782329.selcdn.ru%2Fleonardo%2FuploadsForSiteId%2F203280%2Fcontent%2Fc1eae81c-a82d-47a6-9678-59b48e16b635.jpg)
%3Aformat(webp)%2F782329.selcdn.ru%2Fleonardo%2FuploadsForSiteId%2F203280%2Fcontent%2F4cb7eafe-7bcd-46c8-b734-19eefcf9fbe1.jpg)
%3Aformat(webp)%2F782329.selcdn.ru%2Fleonardo%2FuploadsForSiteId%2F203280%2Fcontent%2F161bcebb-35df-4d37-a9a4-76dc2d7cbe76.jpg)
%3Aformat(webp)%2F782329.selcdn.ru%2Fleonardo%2FuploadsForSiteId%2F203280%2Fcontent%2Faab37e33-88be-4fea-b1f6-ca395d5eea94.jpg)
%3Aformat(webp)%2F782329.selcdn.ru%2Fleonardo%2FuploadsForSiteId%2F203280%2Fcontent%2F4b7dd4e1-3f46-4fd3-8d99-7a20ea6ad58b.jpg)
%3Aformat(webp)%2F782329.selcdn.ru%2Fleonardo%2FuploadsForSiteId%2F203280%2Fcontent%2Ff9c8e29d-7342-4b1d-93e7-ff01f4806e36.jpg)
%3Aformat(webp)%2F782329.selcdn.ru%2Fleonardo%2FuploadsForSiteId%2F203280%2Fcontent%2F252ad244-e444-4d1a-9ec8-82341da23d72.jpg)
%3Aformat(webp)%2F782329.selcdn.ru%2Fleonardo%2FuploadsForSiteId%2F203280%2Fcontent%2Fbb87447a-6e22-48ca-bd30-309b4eb40ad9.jpg)
%3Aformat(webp)%2F782329.selcdn.ru%2Fleonardo%2FuploadsForSiteId%2F203280%2Fcontent%2F6167ee30-f195-4840-bc9d-5ab72aab7556.jpg)
%3Aformat(webp)%2F782329.selcdn.ru%2Fleonardo%2FuploadsForSiteId%2F203280%2Fcontent%2F49062a9c-d990-41f8-bc08-77d5285eb817.jpg)
%3Aformat(webp)%2F782329.selcdn.ru%2Fleonardo%2FuploadsForSiteId%2F203280%2Fcontent%2F1bb6abda-0ca0-4006-99e2-5ca12763102e.jpg)
%3Aformat(webp)%2F782329.selcdn.ru%2Fleonardo%2FuploadsForSiteId%2F203280%2Fcontent%2F12b8bff3-0c96-4ac9-b0aa-2548f261c47b.jpg)
%3Aformat(webp)%2F782329.selcdn.ru%2Fleonardo%2FuploadsForSiteId%2F203280%2Fcontent%2F8b165326-1b44-4470-80fe-e24cf51fc99a.jpg)
%3Aformat(webp)%2F782329.selcdn.ru%2Fleonardo%2FuploadsForSiteId%2F203280%2Fcontent%2F2475558d-ac5a-4a3f-b0fc-2e8bcff3b0ae.jpg)
%3Aformat(webp)%2F782329.selcdn.ru%2Fleonardo%2FuploadsForSiteId%2F203280%2Fcontent%2Ff4f57cc6-932e-44b4-9d61-d83476ff3e93.jpg)
%3Aformat(webp)%2F782329.selcdn.ru%2Fleonardo%2FuploadsForSiteId%2F203280%2Fcontent%2F6cfde969-8ecf-45ad-be71-b4f7d5a60735.jpg)
%3Aformat(webp)%2F782329.selcdn.ru%2Fleonardo%2FuploadsForSiteId%2F203280%2Fcontent%2F2ea6af04-fb34-4186-a0e0-db64821c15f0.png)
%3Aformat(webp)%2F782329.selcdn.ru%2Fleonardo%2FuploadsForSiteId%2F203280%2Fcontent%2Ff30f49a7-5c95-48b7-b622-edaaa3667499.jpg)
%3Aformat(webp)%2F782329.selcdn.ru%2Fleonardo%2FuploadsForSiteId%2F203280%2Fcontent%2F4c32b65b-b7a1-4d1d-b6ea-4cecce709ffb.png)
%3Aformat(webp)%2F782329.selcdn.ru%2Fleonardo%2FuploadsForSiteId%2F203280%2Fcontent%2Fe7b94148-25f6-468f-8b6e-1d9fc4a6076b.jpg)
%3Aformat(webp)%2F782329.selcdn.ru%2Fleonardo%2FuploadsForSiteId%2F203280%2Fcontent%2F2d82d9ad-9423-4c87-b0bf-620eb22d8015.jpg)
%3Aformat(webp)%2F782329.selcdn.ru%2Fleonardo%2FuploadsForSiteId%2F203280%2Fcontent%2F87c42f38-4da6-4200-aae9-b8824590e3b2.jpg)
%3Aformat(webp)%2F782329.selcdn.ru%2Fleonardo%2FuploadsForSiteId%2F203280%2Fcontent%2F0d4d6975-ff7c-4588-ad96-2563bd05fdf3.jpg)
%3Aformat(webp)%2F782329.selcdn.ru%2Fleonardo%2FuploadsForSiteId%2F203280%2Fcontent%2F88d0dac6-4c10-4cfe-9a7f-a05f3ef6d279.jpg)
%3Aformat(webp)%2F782329.selcdn.ru%2Fleonardo%2FuploadsForSiteId%2F203280%2Fcontent%2F0643ba89-9266-4d80-b47c-b3e352de94b6.jpg)